Công tác hoàn thiện trong xây dựng - Thi công nghiệm thu - P4
Danh mục
Bộ phận bán hàng
SĐT: 0787 64 65 68
Zalo: 0971 954 610
SĐT: 0975 866 987
Zalo: 0975 866 987
SĐT: 0377 101 345
Zalo: 0377 101 345
SĐT: 098 884 9199
Zalo: 098 884 9199
Danh sách đại lý
Support online
Ms Thúy
0787 64 65 68
Mr Hòa
0975 866 987
Ms Ly 360
0377 101 345
Mr Quyết
098 884 9199
TIÊU CHUẨN VIỆT NAM

Tiêu chuẩn này quy định phương pháp dùng áp lực để xác định hàm lượng bọt khí của hỗn hợp bê tông nặng sau khi được đầm chặt.
Tiêu chuẩn này chi áp dụng cho hỗn hợp bê tông có cốt liệu đặc chắc với đường kính cỡ hạt tới 40mm.
Bình thử bọt khí;
Bàn rung tần số 2800 ± 200 vòng /phút hoặc thanh thép tròn trơn đường kính 16mm, dài 600mm hai đầu múp tròn;
Bình thử bọt khí (hình 1) là một bình kim loại hình trụ, đường kính bằng 0,75 ± 1,25 chiều cao, nắp hình côn. Nắp được liên kết với thân bình bằng gioăng cao su và bu lông hãm. Nắp bình được gắn van điều chỉnh nước và một ống trụ nhỏ trong có đặt một ống thuỷ tinh khắc độ. Đầu ống trụ có các nhánh để gắn áp kế, bơm, phễu và để đóng kín bình khi thử. Bình có dung tích tối thiểu 5 lít và phải được gia công đủ cứng để không bị biến dạng thể tích quá 0,l% giá trị hàm lượng bọt khí dưới tác dụng của áp lực thử.
Lấy và chuẩn bị khoảng 8 lít hỗn hợp bê tông theo TCVN 3105 : 1993 để thử.
3.1. Hiệu chỉnh bình thử bọt khí
Đặt một tấm kính phẳng dày 3 - 4mm xuống đáy bình, úp miệng một cốc thuỷ tinh hoặc kim loại) dung tích biết trước V1 (ml) lên tấm kính. Đặt trên đáy cốc một lò xo có độ dài đủ để khi đậy nắp bình thử bọt khí, nắp bình sẽ tì lên lò xo giữ cho cốc cố định. Sau đó đặt gioăng cao su lên miệng bình, đậy nắp bình và bắt bu lông. Tiếp theo đổ nước vào bình tới vạch mức "0" qua một nhánh van ở đỉnh ống trụ rồi khoá van. Dùng bơm áp lực 0,4 daN/cm2 ép khí trong cốc và đọc mức nước tụt xuống dưới vạch mức "0”.
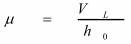
Tính hệ số hiệu chính bình thử bọt khí theo công thức :

Trong đó :
VL - Dung tích cốc thuỷ tinh (hoặc kim loại), ml; ,
h0 - Chiều cao mức nước tựt xuống dưới mức "0" ở áp lực 0,4 daN/cm2, mm
µ- Được xác định bằng kết quả trung bình của hai lần thử hiệu chỉnh
3.2. Xác định hàm lượng bọt khí
Đổ và đầm hỗn hợp bê tông vào bình thử bọt khí theo điều 3.7 của TCVN 3105 : 1993 . Đầm xong dùng bay gạt bớt hỗn hợp giữ cho mức hỗn hợp thấp hơn miệng bình khoảng 3cm. Sau đó cẩn thận đổ nước đầy tới miệng bình, tránh không để nước sục hỗn hợp,
đặt gioăng cao su, đậy và xiết chặt nắp bình. Qua lỗ trên đỉnh
ống trụ đổ tiếp nước vào bình tới
vạch mức "0".
Tiếp đó khoá kín bình rồi dùng bơm tạo áp lực 0,4daN/cm2 ép khí trong hỗn hợp bê tông ghi lại mức tụt xuống dưới vạch mức "0".
4. Tính kết quả
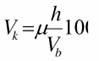
Hàm lượng bọt khí trong hỗn hợp bê tông được tính bằng phần trăm theo công thức :

Trong đó :
h - Mức nước tụt xuống dưới vạch "0" với áp lực 0,4daN/cm2, mm;
vb - Thể tích hỗn hợp bê tông trong bình, ml;
µ - Hệ số hiệu chỉnh thiết bị (xác định theo điều 3.1).
5. Biên bản thử
Trong biên bản thử ghi rõ :
- Ngày và nơi lấy mẫu;
- Giá trị hệ số hiệu chỉnh bình;
- Hàm lượng bọt khí.
Phụ lục
Xác định hàm lượng bọt khí của hỗn hợp bê tông bằng phương pháp tính toán
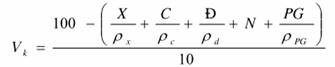
Hàm lượng bọt khí trong hỗn hợp bê tông Vk được tính toán chính xác tới 0,1% theo công thức:

Trong đó:
X, C, Đ, N, PG - Khối lượng thực tế của xi măng, cát, sỏi (dăm), nước và phụ gia trong 1m3 hỗn hợp bê tông đầm chặt, kg;
rx- Khối lượng riêng của xi măng thử theo TCVN 40 : 1985, g/cm3
rc , rd - Khối lượng riêng của cát, đá (sỏi) thử theo TCVN 339 : 1970; TCVN 1772 : 1988 g/cm3.
rPG -Khối lượng riêng của phụ gia, g/cm3.
Bài viết liên quan
Các tiêu chuẩn nghiệm thu xây dựng đến thời điểm hiện tại phần 5
Tổng hợp các tiêu chuẩn nghiệm thu và qlcl xây dựng hiện hành được áp dụng phần 5
PHỤ GIA, XI MĂNG & CLINKER, VẬT LIỆU CHỊU LỬA, THIẾC, ĐỒNG, NHÔM & HỢP KIM NHÔM, SẢN PHẨM THÉP & CÁP THÉP, CHỐNG SÉT & CÁCH ĐIỆN, MẠNG VIỄN THÔNG – TRUYỀN HÌNH CÁP, PHƯƠNG TIỆN & CHẤT CHỮA CHÁY
Các tiêu chuẩn nghiệm thu xây dựng đến thời điểm hiện tại phần 4
Tổng hợp các tiêu chuẩn nghiệm thu và qlcl xây dựng hiện hành được áp dụng phần 4
ỐNG THÉP & ỐNG GANG DẺO, ỐNG NHỰA, ỐNG PVC-U, ỐNG PE, ỐNG HDPE, ỐNG PP
Các tiêu chuẩn nghiệm thu xây dựng đến thời điểm hiện tại phần 3
Tổng hợp các tiêu chuẩn nghiệm thu và qlcl xây dựng hiện hành được áp dụng phần 3
GỖ, VÁN GỖ, TRE, SẢN PHẨM ĐIỆN
Các tiêu chuẩn nghiệm thu xây dựng đến thời điểm hiện tại phần 2
Tổng hợp các tiêu chuẩn nghiệm thu và qlcl xây dựng hiện hành được áp dụng phần 2
CÁC LOẠI GẠCH, VỮA, BỘT MÀU, KEO DÁN GẠCH, ĐÁ ỐP LÁT, NGÓI, TẤM LỢP, TẤM THẠCH CAO, TẤM XI MĂNG SỢI, TẤM 3D, SỨ VỆ SINH, VẬT LIỆU CHỐNG THẤM, KẾT DÍNH, CHẮN NƯỚC, LỌC, VÔI, SƠN, BỘT BẢ TƯỜNG, VẬT LIỆU XẢM KHE, VẬT LIỆU CÁCH NHIỆT, BÔNG THỦY TINH, VẢI THỦY TINH, CỬA ĐI, CỬA SỔ & PHỤ TÙNG CỬA, KÍNH XÂY DỰNG
Các tiêu chuẩn nghiệm thu xây dựng đến thời điểm hiện tại phần 1
Tổng hợp cho người dùng tất cả các tiêu chuẩn nghiệm thu xây dựng đến thời điểm hiện tại. Phần 1
BÊ TÔNG, BÊ TÔNG NHẸ, CỐT LIỆU CHO BÊ TÔNG, THÉP CỐT BÊ TÔNG, THÉP CỐT BÊ TÔNG DỰ ỨNG LỰC, CẤU KIỆN BÊ TÔNG & BÊ TÔNG CỐT THÉP, THÉP KẾT CẤU, CỌC THÉP, QUE HÀN & DÂY THÉP HÀN