TCVN 3119 - 1993 BÊ TÔNG NẶNG - PHƯƠNG PHÁP XÁC ĐỊNH CƯỜNG ĐỘ KÉO KHI UỐN
TIÊU CHUẨN VIỆT NAM
TCVN 3119 - 1993
BÊ TÔNG NẶNG - PHƯƠNG PHÁP XÁC ĐỊNH CƯỜNG ĐỘ KÉO KHI UỐN
Heavyweight concrete -Method for determination of flexural tensile strength

Tiêu chuẩn này quy định phương pháp xác định cường độ kéo khi uốn của bê tông
1. Thiết bị thử.
Máy thử uốn (hình 1)
Thước lá kim loại.
Máy thử uốn gồm một dầm thép cứng nằm ngang, trên dầm có hai gối tựa con lăn đường kính 25 - 30mm. Gối thứ nhất là gối di động (1) gối thứ hai là gối cố định (2). Khoảng cách gia hai gối tựa được thay đổi và điều chmh bằng cách trượt các gối trên dầm ngang và định vị vào dầm bằng ốc hãm. Mẫu thử uốn được đặt trên các gối này.
Lực uốn được truyền từ máy nén xuống mẫu nhờ một khớp cầu (3) một dầm thép phụ (4) và hai gối truyền tải có cấu tạo tương tự như các gối tựa (1) và (2) . Độ dài của các gồi truyền tải và các gối tựa phải lớn hơn chiều rộng của mẫu thử uốn. Chiều dài của dầm thép phụ phải không được nhỏ hơn một nửa chiều dài của mẫu thử uốn.
Độ võng của dầm thép phụ khi truyền tải phải không được lớn hơn 1/500 khẩu độ uốn của dầm.
2. Chuẩn bị mẫu thử
2.1. Chuẩn bị mẫu thử uốn theo nhóm mẫu. Mỗi nhóm mẫu gồm 3 dầm. Khi sử dụng các dầm bê tông cắt từ kết cấu nếu không có đủ 3 dầm thì được phép lấy 2 dầm làm một nhóm mẫu thử.
2.2. Việc lấy mẫu hỗn hợp bê tông, đúc, bảo dưỡng khoan cắt bê tông và chọn kích thước viên dầm để làm mẫu thử phải được tiến hành theo TCVN 3105: l993.
2.3. Viên chuẩn để xác định cường độ kéo khi uốn của bê tông là viên mẫu dầm kích thước 150 x 150 x 600mm. Các viên mẫu kích thước khác kích thước viên chuẩn sau khi thử uốn phải được tính đổi kết quả thử về cường độ kéo khi uốn của viên chuẩn.
2.4. Kết cấu sản phẩm yêu cầu nghiệm thu ở tuổi và trạng thái nào thì phải thử uốn các viên dầm ở đúng tổi và trạng thái đó.
3. Tiến hành thử
3.1. Đo các kích thước tiết diện chịu uốn của mẫu chính xác tới 1mm. Kích thước mỗi chiều của tiết diện được tính bằng trung bình số học của hai đường trung bình trên hai mặt đối diện tạo ra chiều đó.
3.2. Chọn thang lực uốn thích hợp để khi thử, tải trọng phá hoại nằm trong khoảng 20 - 80% tải trọng cực đại của máy.
3.3. Đối với mẫu thử uốn, đặt mẫu lên máy uốn theo sơ đồ hình 1 sao cho hướng tác dụng của lực song song với mặt hở của viên dầm bê tông khi đổ. Sai lệch.
Vị trí đặt lực các khoảng cách giữa hai gối tựa và hai gối truyền tải không được vượt quá 0,5mm. Trục dọc của dầm thép ngang, dầm thép phụ phải cùng nằm trên một mặt phẳng.
3.4. Giữa các gối truyền lực và mặt trên của mẫu cho phép đặt các tấm đệm bằng gỗ dán 3 lớp dày 4 ± lmm, rộng 15 ± 2mm, dài bằng chiều rộng mẫu thử để lực tác dụng được truyền đều lên mẫu thử.
3.5. uốn mẫu bằng cách tăng tải liên tục lên mẫu với tốc độ không đổi và bằng 0,6 ± 0,4daN/cm2 trong một giây cho tới khi gãy mẫu.
3.6. Lực tối đa đạt được khi thử uốn là tải trọng uốn gãy mẫu.
4. Tính kết quả
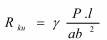
4.1. Cường dộ kéo khi uốn của từng mẫu dầm bê tông được tính bằng daN/cm2 theo công thức:

Trong đó:
P - Tải trọng uốn gãy mẫu, tính bằng daN;
l - Khoảng cách giữa hai gối tựa, tính bằng cm;
a - Chiều rộng tiết diện ngang của mẫu, tính bằng cm;
b - Chiều cao tiết diện ngang của mẫu, tính bằng cm
y - Hệ số tính đổi cường độ kéo khi uốn từ các mẫu kích thước khác dầm chuẩn sang mẫu dầm kích thước chuẩn 150 x 150 x 600mm.
Hệ số γ lấy theo bảng 1.
Bảng 1
|
Kích thước mẫu dầm (mm)
|
Hệ số
|
|
100 x 100 x 400
150 x 150 x 600
200 x 200 x 800
|
1,05
1,00
0,95
|
Chú thích:
1. Không được phép sử dụng các giá trị J thấp hơn các giá trị ghi ở bảng 1.
2. Cho phép sử dụng các giá trị lớn hơn các giá trị ở bảng 1 khi được xác định bằng thực thực nghiệm theo phương pháp như xác định hệ số D trong phụ lục của TCVN 3118:1993
3. Nếu mẫu dầm bị gãy ngoài khoảng một phần ba giữa khẩu độ uốn, thì loại bỏ kết quả của viên mẫu này.
4.2. Cường độ kéo khi uốn của bê tông được xác định bằng giá trị cường độ trung bình của 3 viên trong nhóm mẫu nếu giá trị lớn nhất và nhỏ nhất không lệch quá 15% so với giá trị của viên trung bình. Nếu một trong hai giá trị trên lệch quá 15% so với viên trung bình thì loại bỏ cả hai kết quả lớn nhất và nhỏ nhất. Khi đó cường độ kéo khi uốn của bê tông được tính theo giá trị của viên trung bình còn lại.
4.3. Khi nhóm mẫu chỉ có 2 dầm, cường độ kéo khi uốn của bê tông được tính bằng trung bình số học kết quả thử của 2 viên dầm đó.
4.4. Cường độ kéo dọc trục của bê tông, Rk, được tính theo cường độ kéo khi uốn, Rku, bằng công thức:
.jpg)
5. Biên bản thử
Trong biên bản thử ghi rõ:
- Kí hiệu mẫu;
- Nơi lấy mẫu;
- Tuổi bê tông, điều kiện bảo dưỡng, trạng thái mẫu khi thử;
- Mác bê tông thiết kế;
- Kích thước từng mẫu dầm;
- Tải trọng uốn gãy từng dầm;
- Cường độ kéo khi uốn từng dầm và cường độ kéo khi uốn trung bình,
- Chữ kí của người thử.